算法-二叉树基础(上):什么样的二叉树适合用数组来存储?


前言


前面我们讲的都是线性表结构,栈、队列等等。今天我们将一种非线性表结构,树。树这种数据结构比线性表的数据结构要复杂的多,内容也比较多,分了四节来讲解。

章节 内容
二叉树(上) 树、二叉树
二叉树(下) 二叉查找树
红黑树 平衡二叉查找树、红黑树
递归树 递归树

在正式开始今天内容之前,我们还是先看一道思考题:二叉树有哪几种存储方式?什么样的二叉树适合用数组来存储?


树(Tree)


我们首先来看,什么是树?再完备的定义,也不如图直观,我们可以从以下几颗树来看看,树这种数据结构有什么特征?

你有没有发现,树这种数据结构很像我们现实生活中的“树”,这里面每个元素我们叫做“节点”,用来连线相邻节点之间的关系,我们叫做“父子关系”

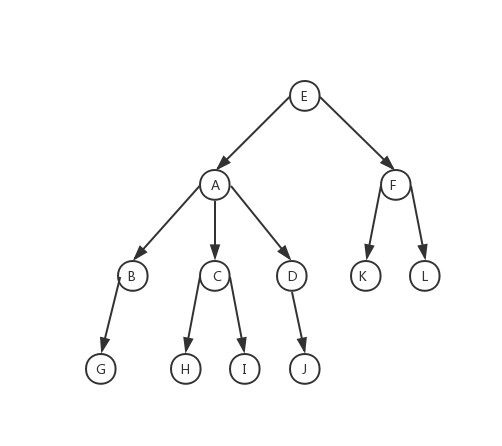
比如下面这幅图,A节点就是B节点的父节点,B节点是A节点的子节点。B、C、D这三个节点的父节点是同一个节点,所以他们之间互称为兄弟节点。我们把没有父节点的节点叫做根节点,也就是图中的节点E,我们把没有子节点的节点叫做叶子节点或者叶节点。比如途中的G、H、I、J、K、L都是叶子节点。

除此之外,关于书,还有三个比较相似的概念:高度深度。他们的定义是这样的:

  • 节点的高度= 节点到叶子节点的最长路径(边数)
  • 节点的深度 = 根节点到这个节点所经历的边的个数
  • 节点的层数 = 节点的深度 + 1
  • 树的高度 = 根节点的高度

这三个概念的定义比较容易混淆,描述起来也比较空洞,我举个例子说明一个,你一看就应该能明白

记住这几个概念,我还有一个小窍门,就是类比高度、深度、层这几个名次在我们生活中的意义。

在我们的生活中,“高度”这个概念,其实就是从下往上度量,比如我们要度量第10层楼的高度、第13层楼的高度,起点都是地面。所以树这种数据结构的高度也是一样的,从最底层开始计算,并且计数的起点是0.

“深度”这个概念在生活中是从上往下度量的,比如水中鱼的深度,是从海平面开始度量的,所以树这种数据结构的深度也是类似的,从根节点开始度量,并且计数起点是0.

“层”跟深度的计算类似,不过,计算的起点是1,也就是说根节点位于第一层。


二叉树(Binary Tree)


树的机构多种多样,不过我们最常用的还是二叉树。

二叉树,顾名思义,每个节点最多有两个“叉”,也就是两个子节点,分别是左子节点和右子节点。不过,二叉树并不要求每个节点都有两个子节点,有的节点只有左子节点,有的节点只有右子节点。我画的这几个都是二叉树,以此类推,你可以想象以下四叉树、八叉树是什么样子。

这个图里面,有两个比较特殊的二叉树,分别是编号2和编号3的二叉树。

其中,编号为2的二叉树中,叶子节点全都在最底层,除了叶子节点外,每个节点都有左右子节点,这种二叉树就叫做满二叉树

编号为3的二叉树中,叶子节点都在最下两层,最后一层的叶子节点都靠左排列,并且除了最后一层,其他层的节点个数都要达到最大,这种二叉树叫做完全二叉树

满二叉树很好理解,也很好识别,但是完全二叉树,有的人可能就分不清了。

你可能会说,满二叉树的特征非常明显,我们把它单独拎出来,这个可以理解,但是完全二叉树的特征不怎么明显,但从长相上来看,完全二叉树并没有特殊的地方,更像是芸芸众树中的一种。

那我们为什么还要特意把它拎出来呢?为什么偏偏把最后一层的叶子节点靠左排列的叫完全二叉树?如果靠右排列就不能叫完全二叉树了吗?这个定义的由来或者说目的在哪里?

要理解完全二叉树的由来,我们需要先了解,如何表示(或者存储)一颗二叉树

想要存储一颗二叉树,我们有两种方法,一种是基于指针或者引用的二叉链式存储法,一种是基于数组的顺序存储法。

我们先来看比较简单、直观的链式存储法。从图中你应该可以很清楚的看到,每个节点有三个字段,其中一个存储数据,另外两个指向左右子节点的指针。我们只要拎住根节点,就可以通过左右子节点的指针,把整颗树都串起来,这种存储方式我们比较常用。大部分二叉树的代码都是通过这种方式实现的。

我们再来看,基于数组的顺序存储法,我们把根节点存储在下标i=1的位置,那左子节点存储在下标为2i=2的位置,右子节点存储在2i+1=3的位置。依次类推,B节点的左子节点存储在2i=22=4的位置,右子节点存储在2i+1=22+1=5的位置。

我来总结一下,如果节点X存储在数组中下标为i的位置,下标为2i的位置存储的就是左子节点,下标为21+1的位置存储的就是右子节点。反过来,下标为i/2的位置存储的就是它的父节点。通过这种方式,我们只要知道根节点存储的位置(一般情况下,为了方便计算子节点,根节点会存储在下标为1的位置),这样就可以通过下标计算,把整颗树都串起来。

不过,我刚刚举的例子是一颗完全二叉树,所有仅仅“浪费”了一个下标为0的存储位置。如果是非完全二叉树,其实会浪费比较多的数组存储空间,你可以看我举的下面的例子。

所以如果某棵二叉树是完全二叉树,那用数组存储无疑是最节省内存的一种方式。因为数组的存储方式并不需要像链式存储法那样,要存储额外的左右子节点的指针。这也是为什么完全二叉树要单独拎出来的原因,也是为什么完全二叉树要求最后一层的子节点都靠左的原因。

当我们讲到堆和堆排序的时候,你会发现,堆其实就是一种完全二叉树,最常用的存储方式就是数组。


二叉树的遍历


前面我讲了二叉树的基本定义和存储方法,现在我们来看二叉树中非常重要的操作,二叉树的遍历。这也是非常常见的面试题。

如何将所有节点都遍历打印出来呢?经典的方法有三种,前序遍历、中序遍历、后序遍历。其中,前、中、后序,表示的是节点与它的左右子树节点遍历打印的先后顺序。

  • 前序遍历是指,对于树中的任意节点来说,先打印这个节点,然后再打印它的左子树,最后打印它的右子树。

  • 中序遍历是指,对于树中的任意节点来说,先打印它的左子树节点,在打印它本身,最后打印它的右子树节点。

  • 后序遍历是指,对于树中的任意节点来说,先打印它的左子树节点,在打印它的右子树节点,最后打印这个节点本身。

实际上,二叉树的前、中、后序遍历就是一个递归的过程。比如,前序遍历,其实就是先打印根节点,然后再递归地打印左子树,最后递归的打印右子树。

写递归代码的关键,就是看能不能写出递推公式,而写递推公式的关键,就是要看解决问题A,就假设子问题B、C已经解决,然后再来看如何利用B、C来解决A。所以,我们可以把前、中、后序遍历的递推公式都写出来。

1
2
3
4
5
6
7
8
前序遍历的递推公式
preOrder(r) = print r -> preOrder(r->left) -> preOrder(r->right)

中序遍历的递推公式
inOrder(r) = inOrder(r->left) -> print r -> inOrder(r->right)

后序遍历的递推公式
postOrder(r) = postOrder(r->left) -> postOrder(r->right) -> print r

有了递推公式,代码写起来就简单多了,这三种遍历方式的代码,我都写出来了,你可以看看。

1
2
3
4
5
6
7
8
9
10
11
12
13
14
15
16
17
18
19
20
21
void preOrder(Node* root) {
if (root == null) return;

print root; // 伪代码,表示打印root节点
preOrder(root->left)
preOrder(root->right)
}

void inOrder(Node* root) {
if(root == null) return;
inOrder(root->left);
print root;
inOrder(root->right)
}

void postOrder(Node* root) {
if(root == null) return;
postOrder(root->left);
postOrder(root->right)
print root;
}

二叉树的前、中、后序遍历是不是很简单?你知道二叉树遍历的时间复杂度是多少吗?我们一起来看看。

从我前面画的前、中、后序遍历的顺序图,可以看出来,每个节点最多被访问两次,所以遍历的时间复杂度,跟节点的个数n成正比,也就是说二叉树的遍历的时间复杂度是O(n).


解答开篇|内容小姐


今天,讲了一种非线性表数据结构,树。关于树,有几个比较常用的概念你需要掌握,那就是跟节点、叶子节点、父节点、子节点、兄弟节点,还有节点的高度、深度、层数,以及树的高度。

我们平时最常用的就是二叉树。二叉树的每个节点最多有两个子节点,分别是左子节点和右子节点。二叉树中,有两个比较特殊的树,满二叉树和完全二叉树。满二叉树是完全二叉树的一中特殊情况。

二叉树既可以用链式存储,也可以用数组顺序存储。数组顺序存储的方式比较适合完全二叉树,其他类型的二叉树用数组存储会比较浪费存储空间。除此之外,二叉树里非常重要的操作就是前、中、后序遍历操作,遍历的操作时间复杂度是O(n),你需要理解并能用递归代码来实现,

课后思考

  1. 给定一组数据,比如1、3、5、6、9、10.你来算算,可以构建出多少种不同的二叉树?

  2. 我们讲了三种二叉树的遍历方式,前、中、后序。实际上,还有另外一种遍历方式,就是按层遍历,你知道如何实现吗?